开元棋盘财神捕鱼官网版下载2023 2015-2024年考研数学(一)真题练习和解析——选择题
大学纷纷开始重新开学开元棋官方正版下载,准备2025年考研的学子们也必须开始紧锣密鼓地备考,尤其是政治、英语、数学三门公共课。准备时间和周期都比较长开元ky888棋牌官方版,每一项都是一个难题。

在这三门公共课程中,数学的灵活性最大。那么,如何有效提高考研数学成绩呢?有效的方法之一就是彻底理解过去的问题。通过深入了解考研真题,以及题目背后的考点和知识点,可以举一反三开元棋盘财神捕鱼官网版下载2023,用更少的时间和成本让考研数学成绩更上一个台阶。
六点成长收集整理了1987年至2024年考研数学1的真题及解析,并将2015年至2024年的真题做成了练习方法。多种形式的练习可以在各种终端上流畅使用。随时随地访问,利用碎片时间彻底了解真题。
今天我们继续看5道选择题。
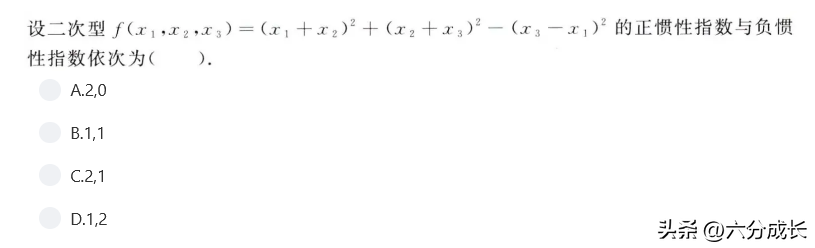
1. 2015-2024年考研数学 1 选择题与分析 1

分析:

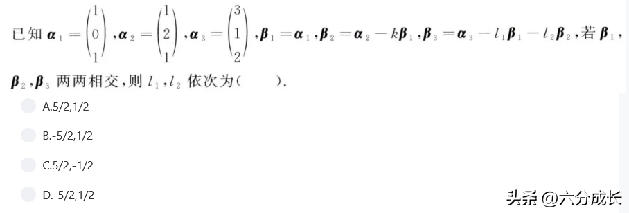
2. 2015-2024年考研数学 1 选择题与分析 2

分析:

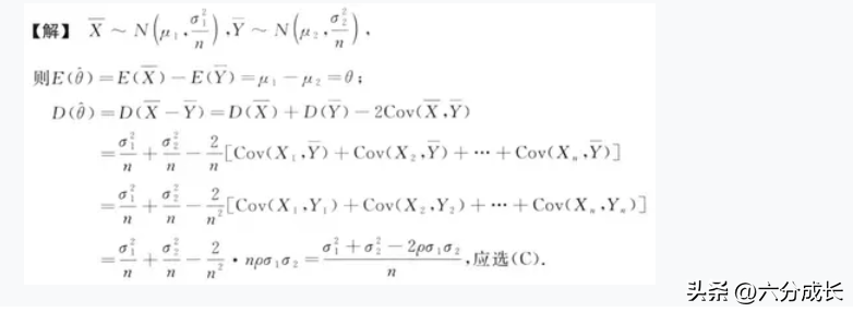
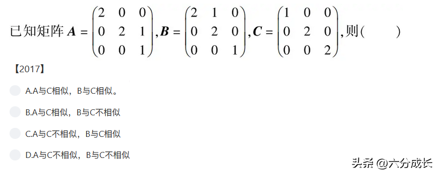
3. 2015-2024年考研数学I选择题与分析3

分析:

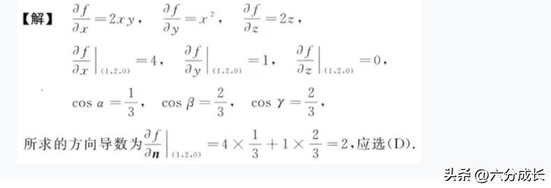
4. 2015-2024年考研数学I选择题与分析4

分析:

5. 2015-2024年考研数学I选择题与分析5

分析:

附:考研数学(一)备考材料,更高效、科学地理解考研数学1真题和知识



鲁ICP备18019460号-4
我要评论